Ask
your own question, for FREE!
Mathematics
15 Online
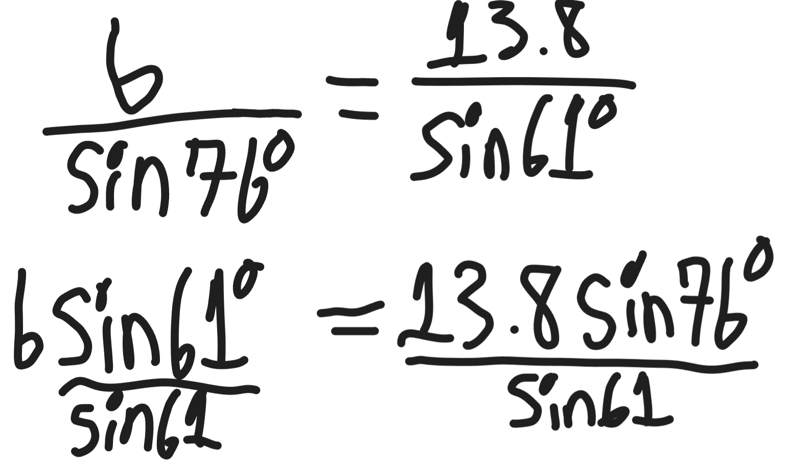
Solve the triangle.
Still Need Help?
Join the QuestionCove community and study together with friends!
Still Need Help?
Join the QuestionCove community and study together with friends!
my calculations was wrong lol, correct calculation: gamma = 43
Can't find your answer?
Make a FREE account and ask your own questions, OR help others and earn volunteer hours!
Join our real-time social learning platform and learn together with your friends!
Join our real-time social learning platform and learn together with your friends!
Latest Questions
lovelove1700:
u00bfA quu00e9 hora es tu clase?Fill in the blanks Activity unlimited attempts left Completa.
glomore600:
find someone says that that one person your talking to doesn't really like you should I take their advice and leave or should I ask the person i'm talking t
Addif9911:
Him I dimmed the light that once felt mine, a glow I never meant to lose. I over-read the shadows, let voices crowd the room where only two hearts shouldu20
EdwinJsHispanic:
Poem to my mom who proved my point "You proved my point, I am a failure. but I kinda wish, you were my savior.
Wolfwoods:
The Modern Princess "you spoke so softly to me, held me close when no one else did, loved me in a way no one else dared to.
Wolfwoods:
The Pain Of Waiting "The short story would be that we fell in love, you left and I continued to wait for you.
notmeta:
balance the following equation - alumoinum chlorate --> alumninum chloride + oxyg
18 hours ago
0 Replies
0 Medals
21 hours ago
5 Replies
0 Medals
2 days ago
4 Replies
0 Medals
2 days ago
6 Replies
2 Medals
3 days ago
11 Replies
3 Medals
3 days ago
7 Replies
2 Medals
3 days ago
4 Replies
1 Medal