Ask your own question, for FREE!
Mathematics 45 Online
xXAikoXx:

PLEASE HELP- MY TEACHER WANTS US TO SOLVE THIS

xXAikoXx:

-

1 attachment
MrMystery:

Isolate the variables first

Nina001:

\(\frac{5x-15}{xy+6x}\)

MrMystery:

Well actually gotta use the order of operations first fr

Nina001:

pemdas

Nina001:

@nina001 wrote:
\(\frac{5x-15}{xy+6x}\)
^

Luigi0210:

@nina001 wrote:
@nina001 wrote:
\(\frac{5x-15}{xy+6x}\)
^
Explain the process

MrMystery:

Well for the first side, you would need to square root the x^2

Luigi0210:

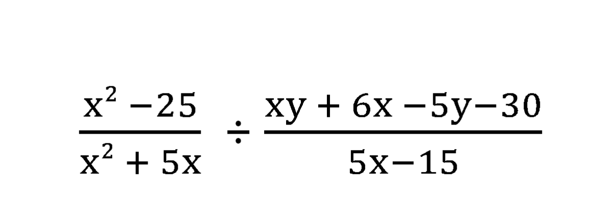
Anyways, all you have to do it factor out the top and bottom on both and cancel \(\Large \frac{(x-5)(x+5)}{x(x+5)} \div \frac{xy+6x-5y-30}{5(x-5)}\)

MrMystery:

I forget Lui is like 20 sum

xXAikoXx:

@luigi0210 wrote:
Anyways, all you have to do it factor out the top and bottom on both and cancel \(\Large \frac{(x-5)(x+5)}{x(x+5)} \div \frac{xy+6x-5y-30}{5(x-5)}\)
SAVED MY LIFE😭🙏

Luigi0210:

Oh yea, and flip it after and change the sign. I think that's it: \(\Large \frac{1}{x} * \frac{5}{xy+6x-5y-30} \)

2hrs:

5(x - 3) / [x(y + 6)]

ihy:

@nina001 wrote:
\(\frac{5x-15}{xy+6x}\)
^

Luigi0210:

He's right, made a misstep, but at least explain it instead of giving just the answer. Here's the corrected version: \(\Large \frac{(x-5)(x+5)}{x(x+5) } \div \frac{(x-5)(y+6)}{5(x-3)} \) cancel AFTER the sign switch (my bad) : \(\Large \frac{(x-5)(x+5)}{x(x+5) } * \frac{5(x-3)}{(x-5)(y+6)} \) \(\Large \frac{5(x-3}{x(y+6)}\)

ihy:

@luigi0210 wrote:
He's right, made a misstep, but at least explain it instead of giving just the answer. Here's the corrected version: \(\Large \frac{(x-5)(x+5)}{x(x+5) } \div \frac{(x-5)(y+6)}{5(x-3)} \) cancel AFTER the sign switch (my bad) : \(\Large \frac{(x-5)(x+5)}{x(x+5) } * \frac{5(x-3)}{(x-5)(y+6)} \) \(\Large \frac{5(x-3}{x(y+6)}\)
Lui, you are so smart

xXAikoXx:

okk thank you guyss

Can't find your answer? Make a FREE account and ask your own questions, OR help others and earn volunteer hours!

Join our real-time social learning platform and learn together with your friends!
Can't find your answer? Make a FREE account and ask your own questions, OR help others and earn volunteer hours!

Join our real-time social learning platform and learn together with your friends!