Ask your own question, for FREE!
Mathematics 43 Online
ThatCreepyBoy:

Solve the triangle shown to the right.

ThatCreepyBoy:

1 attachment
ihy:

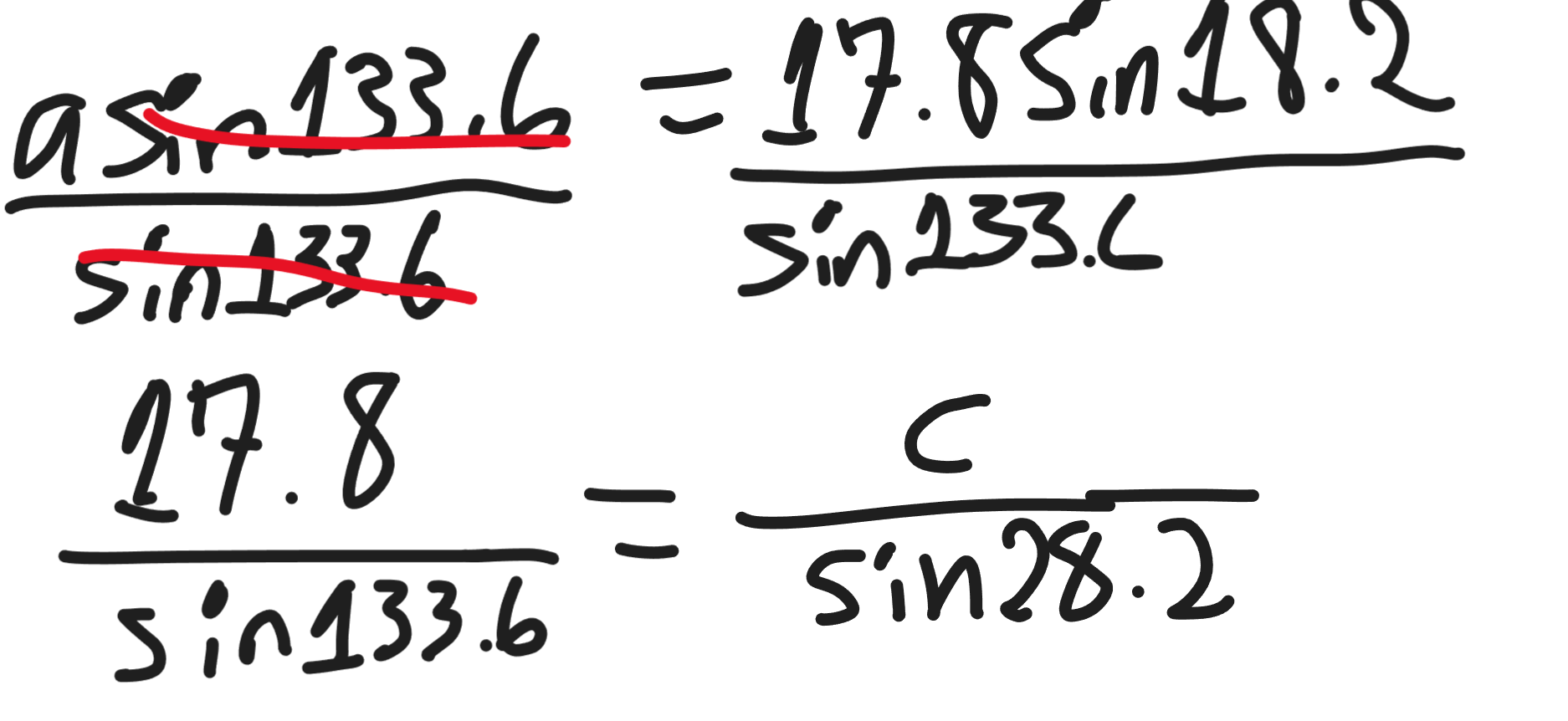
Angles: One angle is 18.2° Another angle is 28.2° Sides: One side (b) is 17.8 units long. What we need to find: The third angle (β) The lengths of the other two sides (a and c) Here's how we'll do it: Find the third angle (β): The angles in a triangle always add up to 180°. β = 180° - 18.2° - 28.2° = 133.6° Find side a and side c: Then, we gotta use the Law of Sines: a/sin(A) = b/sin(B) = c/sin(C) Finding side a: a / sin(18.2°) = 17.8 / sin(133.6°) a = (17.8 * sin(18.2°)) / sin(133.6°) ≈ 8.16 Finding side c: c / sin(28.2°) = 17.8 / sin(133.6°) c = (17.8 * sin(28.2°)) / sin(133.6°) ≈ 10.9 Solution: β = 133.6° a ≈ 8.16 c ≈ 10.9

ThatCreepyBoy:

I think it'll be better if I write it out because looking at it this way will make it more confusing so I'm going step by step but thank you <3

ThatCreepyBoy:

1 attachment
ihy:

@thatcreepyboy wrote:
I think it'll be better if I write it out because looking at it this way will make it more confusing so I'm going step by step but thank you <3
No problem bro

gelphielvr:

@ihy wrote:
Angles: One angle is 18.2° Another angle is 28.2° Sides: One side (b) is 17.8 units long. What we need to find: The third angle (β) The lengths of the other two sides (a and c) Here's how we'll do it: Find the third angle (β): The angles in a triangle always add up to 180°. β = 180° - 18.2° - 28.2° = 133.6° Find side a and side c: Then, we gotta use the Law of Sines: a/sin(A) = b/sin(B) = c/sin(C) Finding side a: a / sin(18.2°) = 17.8 / sin(133.6°) a = (17.8 * sin(18.2°)) / sin(133.6°) ≈ 8.16 Finding side c: c / sin(28.2°) = 17.8 / sin(133.6°) c = (17.8 * sin(28.2°)) / sin(133.6°) ≈ 10.9 Solution: β = 133.6° a ≈ 8.16 c ≈ 10.9
is this geometry / calculous / algebra 2 ?

ihy:

@ihy wrote:
@thatcreepyboy wrote:
I think it'll be better if I write it out because looking at it this way will make it more confusing so I'm going step by step but thank you <3
No problem bro
First we have to simplify the known values: 18. 2 + 17.8 = 36 Then we gotta, rewrite the equation: 36 + γ = 180° Isolate γ: γ = 180° - 36 Solve for γ: γ = 144° Answer: γ = 144°

ThatCreepyBoy:

@gelphielvr wrote:
@ihy wrote:
Angles: One angle is 18.2° Another angle is 28.2° Sides: One side (b) is 17.8 units long. What we need to find: The third angle (β) The lengths of the other two sides (a and c) Here's how we'll do it: Find the third angle (β): The angles in a triangle always add up to 180°. β = 180° - 18.2° - 28.2° = 133.6° Find side a and side c: Then, we gotta use the Law of Sines: a/sin(A) = b/sin(B) = c/sin(C) Finding side a: a / sin(18.2°) = 17.8 / sin(133.6°) a = (17.8 * sin(18.2°)) / sin(133.6°) ≈ 8.16 Finding side c: c / sin(28.2°) = 17.8 / sin(133.6°) c = (17.8 * sin(28.2°)) / sin(133.6°) ≈ 10.9 Solution: β = 133.6° a ≈ 8.16 c ≈ 10.9
is this geometry / calculous / algebra 2 ?
Trigonometry

ihy:

@gelphielvr wrote:
@ihy wrote:
Angles: One angle is 18.2° Another angle is 28.2° Sides: One side (b) is 17.8 units long. What we need to find: The third angle (β) The lengths of the other two sides (a and c) Here's how we'll do it: Find the third angle (β): The angles in a triangle always add up to 180°. β = 180° - 18.2° - 28.2° = 133.6° Find side a and side c: Then, we gotta use the Law of Sines: a/sin(A) = b/sin(B) = c/sin(C) Finding side a: a / sin(18.2°) = 17.8 / sin(133.6°) a = (17.8 * sin(18.2°)) / sin(133.6°) ≈ 8.16 Finding side c: c / sin(28.2°) = 17.8 / sin(133.6°) c = (17.8 * sin(28.2°)) / sin(133.6°) ≈ 10.9 Solution: β = 133.6° a ≈ 8.16 c ≈ 10.9
is this geometry / calculous / algebra 2 ?
Seems like it's between the algebra 2 and calculus range

ThatCreepyBoy:

I'm going step by step on it

ihy:

@thatcreepyboy wrote:
I'm going step by step on it
Alright nice

ThatCreepyBoy:

1 attachment
BROOKLYN16:

Answer The answer is $$\beta = 133.6^{\circ }$$ and $$\alpha + \gamma = 46.4^{\circ }$$

ThatCreepyBoy:

1 attachment
ihy:

So here we're gonna combine the numbers: 2 + 28.2 = 46.4 So, the equation becomes: 46.4 + B = 180 Then, we're gonna isolate B: Subtract 46.4 from both sides of the equation: B = 180 - 46.4 Finally, Calculate the result: B = 133.6 Answer: The value of B (Beta) is 133.6

ihy:

@thatcreepyboy do you have any other ones?

ThatCreepyBoy:

I didn't write it for this but a will be 7.7

ThatCreepyBoy:

1 attachment
ThatCreepyBoy:

1 attachment
ThatCreepyBoy:

1 attachment
Can't find your answer? Make a FREE account and ask your own questions, OR help others and earn volunteer hours!

Join our real-time social learning platform and learn together with your friends!
Can't find your answer? Make a FREE account and ask your own questions, OR help others and earn volunteer hours!

Join our real-time social learning platform and learn together with your friends!